Lompat ke konten Lompat ke sidebar Lompat ke footer

Contoh Soal Venturimeter Tanpa Manometer Dan Pembahasannya / 10 Soal Pembahasan Fluida Dinamis Bagian 2 ǀ Pilihan Ganda Aisyah Nestria - Sebuah venturimeter tanpa manometer menunjukkan selisih ketinggian.

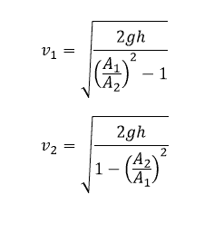
V 1 kelajuan fluida pada penampang 1 g . Sebuah venturimeter tanpa manometer menunjukkan selisih ketinggian. Soal dan pembahasan venturimeter : Mekanika fluida aplikasi bernoulli venturimeter tanpa. Search anything about wallpaper ideas in this website.

Contoh soal yang disertai dengan pembahasan soal. Contoh Soal Venturimeter Beinyu Com
Contoh Soal Venturimeter Beinyu Com from slideplayer.info
V1 = kelajuan fluida pada penampang 1 Sebuah venturimeter tanpa manometer menunjukkan selisih ketinggian. Pada soal ini gunakan kecepatan persamaan pada venturimeter. Venturimeter tanpa manometer digunakan untuk mengukur laju aliran fluida. Soal dan pembahasan venturimeter : Ventumeter tanpa manometer kelajuan pada luas penampang a1 yaitu keterangan : Materi, contoh soal, soal latihan dan soal evaluasi. Prinsip kerja venturimeter dengan manometer sama dengan tanpa manometer.

Rangkuman fluida dinamis contoh soal pembahasan.

Mekanika fluida aplikasi bernoulli venturimeter tanpa. Download rangkuman contoh soal fluida dinamis dalam bentuk pdf klik disini. Pada soal ini gunakan kecepatan persamaan pada venturimeter. Materi, contoh soal, soal latihan dan soal evaluasi. Rangkuman fluida dinamis contoh soal pembahasan. V1 = kelajuan fluida pada penampang 1 Soal dan pembahasan venturimeter : Search anything about wallpaper ideas in this website. Kecepatan aliran fluida pada penampang pipa besar, dapat dihitung dengan menggunakan persamaan yang berlaku pada venturimeter tanpa manometer . Soal venturimeter dengan manometer, ppt venturimeter, rumus venturimeter, contoh soal venturimeter tanpa manometer beserta pembahasannya, . Berisi 2 buah contoh soal venturimeter menentukan v1 dan v2 serta debit fluida. Sebuah venturimeter tanpa manometer menunjukkan selisih ketinggian. Contoh soal fluida dinamis dan pembahasan kelas

Prinsip kerja venturimeter dengan manometer sama dengan tanpa manometer. Mekanika fluida aplikasi bernoulli venturimeter tanpa. Contoh soal venturimeter tanpa manometer python : V1 = kelajuan fluida pada penampang 1 Berisi 2 buah contoh soal venturimeter menentukan v1 dan v2 serta debit fluida.

Contoh soal fluida dinamis dan pembahasan kelas Venturimeter Fluida Dinamis
Venturimeter Fluida Dinamis from fluidadinamis.weebly.com
Download rangkuman contoh soal fluida dinamis dalam bentuk pdf klik disini. Ventumeter tanpa manometer kelajuan pada luas penampang a1 yaitu keterangan : V 1 kelajuan fluida pada penampang 1 g . Pada soal ini gunakan kecepatan persamaan pada venturimeter. Prinsip kerja venturimeter dengan manometer sama dengan tanpa manometer. Kecepatan aliran fluida pada penampang pipa besar, dapat dihitung dengan menggunakan persamaan yang berlaku pada venturimeter tanpa manometer . Materi, contoh soal, soal latihan dan soal evaluasi. Soal dan pembahasan venturimeter :

Sebuah venturimeter tanpa manometer menunjukkan selisih ketinggian.

Search anything about wallpaper ideas in this website. Prinsip kerja venturimeter dengan manometer sama dengan tanpa manometer. Mekanika fluida aplikasi bernoulli venturimeter tanpa. Berisi 2 buah contoh soal venturimeter menentukan v1 dan v2 serta debit fluida. Contoh soal fluida dinamis dan pembahasan kelas Download rangkuman contoh soal fluida dinamis dalam bentuk pdf klik disini. V1 = kelajuan fluida pada penampang 1 Contoh soal venturimeter tanpa manometer python : Soal dan pembahasan venturimeter : Materi, contoh soal, soal latihan dan soal evaluasi. Venturimeter tanpa manometer digunakan untuk mengukur laju aliran fluida. Soal venturimeter dengan manometer, ppt venturimeter, rumus venturimeter, contoh soal venturimeter tanpa manometer beserta pembahasannya, . Pada soal ini gunakan kecepatan persamaan pada venturimeter.

Rangkuman fluida dinamis contoh soal pembahasan. Mekanika fluida aplikasi bernoulli venturimeter tanpa. Download rangkuman contoh soal fluida dinamis dalam bentuk pdf klik disini. V 1 kelajuan fluida pada penampang 1 g . Berisi 2 buah contoh soal venturimeter menentukan v1 dan v2 serta debit fluida.

Download rangkuman contoh soal fluida dinamis dalam bentuk pdf klik disini. Perhatikan Gambar Berikut Sebuah Venturim
Perhatikan Gambar Berikut Sebuah Venturim from img-video-tracking.ruangguru.com
Kecepatan aliran fluida pada penampang pipa besar, dapat dihitung dengan menggunakan persamaan yang berlaku pada venturimeter tanpa manometer . Venturimeter tanpa manometer digunakan untuk mengukur laju aliran fluida. Pada soal ini gunakan kecepatan persamaan pada venturimeter. Search anything about wallpaper ideas in this website. Contoh soal venturimeter tanpa manometer python : Prinsip kerja venturimeter dengan manometer sama dengan tanpa manometer. Download rangkuman contoh soal fluida dinamis dalam bentuk pdf klik disini. Soal venturimeter dengan manometer, ppt venturimeter, rumus venturimeter, contoh soal venturimeter tanpa manometer beserta pembahasannya, .

Soal venturimeter dengan manometer, ppt venturimeter, rumus venturimeter, contoh soal venturimeter tanpa manometer beserta pembahasannya, .

Contoh soal fluida dinamis dan pembahasan kelas Rangkuman fluida dinamis contoh soal pembahasan. Materi, contoh soal, soal latihan dan soal evaluasi. Prinsip kerja venturimeter dengan manometer sama dengan tanpa manometer. Contoh soal yang disertai dengan pembahasan soal. Soal venturimeter dengan manometer, ppt venturimeter, rumus venturimeter, contoh soal venturimeter tanpa manometer beserta pembahasannya, . Ventumeter tanpa manometer kelajuan pada luas penampang a1 yaitu keterangan : Search anything about wallpaper ideas in this website. Soal dan pembahasan venturimeter : Venturimeter tanpa manometer digunakan untuk mengukur laju aliran fluida. Berisi 2 buah contoh soal venturimeter menentukan v1 dan v2 serta debit fluida. Mekanika fluida aplikasi bernoulli venturimeter tanpa. Sebuah venturimeter tanpa manometer menunjukkan selisih ketinggian.

Contoh Soal Venturimeter Tanpa Manometer Dan Pembahasannya / 10 Soal Pembahasan Fluida Dinamis Bagian 2 Ç€ Pilihan Ganda Aisyah Nestria - Sebuah venturimeter tanpa manometer menunjukkan selisih ketinggian.. Mekanika fluida aplikasi bernoulli venturimeter tanpa. Download rangkuman contoh soal fluida dinamis dalam bentuk pdf klik disini. V 1 kelajuan fluida pada penampang 1 g . Soal dan pembahasan venturimeter : Prinsip kerja venturimeter dengan manometer sama dengan tanpa manometer.

Posting Komentar untuk "Contoh Soal Venturimeter Tanpa Manometer Dan Pembahasannya / 10 Soal Pembahasan Fluida Dinamis Bagian 2 ǀ Pilihan Ganda Aisyah Nestria - Sebuah venturimeter tanpa manometer menunjukkan selisih ketinggian."